
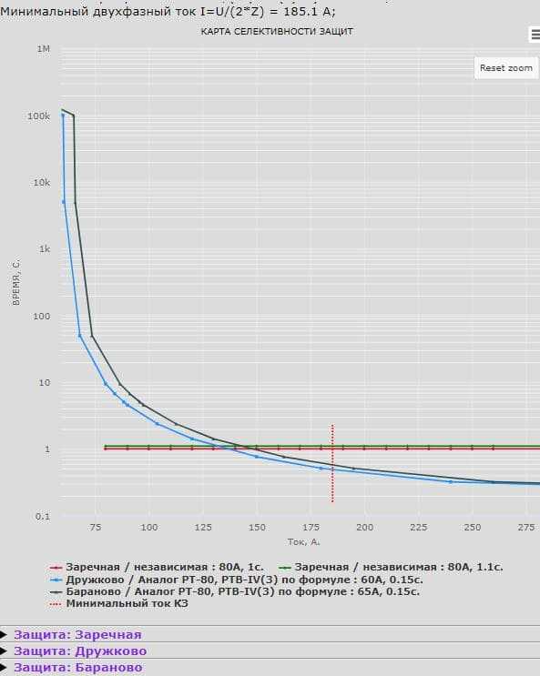
Карта селективности в релейной защите – это инструмент, который помогает наладить правильную работу релейных защитных устройств, чтобы предотвратить повреждения оборудования в случае короткого замыкания или перегрузки. Она отображает взаимосвязь между защитными устройствами и уровнями защитных срабатываний в сети, обеспечивая при этом минимальные отключения и максимальную защиту для всего оборудования.
Принцип работы карты селективности заключается в том, чтобы правильно настроить последовательность срабатывания защит. Если возникает короткое замыкание, карта показывает, какое устройство должно сработать первым, минимизируя отключение в других частях системы. Для этого выбираются устройства с заданными временными задержками, чтобы защитить участки сети, не отключая всю систему сразу.
Ключевыми элементами карты являются временные характеристики реле и устройства защиты, а также их местоположение в сети. Например, для защиты трансформаторов и линии связи важно настроить селективность так, чтобы короткое замыкание на одной линии не привело к отключению соседних участков. Каждое устройство защиты работает на основе заранее определённых параметров времени и тока, которые позволяют избежать ненужных отключений.
Оптимизация работы карты селективности требует точного выбора коэффициентов времени срабатывания для каждого реле в зависимости от конфигурации сети. Также важно учитывать особенности работы защитных устройств, такие как скорость срабатывания и чувствительность, чтобы не допустить ложных срабатываний или перегрузок системы. В случае ошибок в настройке может произойти отключение части сети, что приведет к экономическим и эксплуатационным потерям.
Основные принципы работы карты селективности в релейной защите

Принцип работы карты селективности основан на установке временных задержек и уровнях тока срабатывания для каждого устройства защиты. Чем ближе устройство защиты к месту повреждения, тем быстрее оно должно реагировать на короткое замыкание или перегрузку, чтобы избежать потери питания на всей линии.
Основные элементы карты селективности:
- Установки срабатывания: Каждое защитное устройство на карте имеет заданный порог тока срабатывания, который определяется в зависимости от типа оборудования и его роли в сети.
- Временные задержки: Время, которое требуется для срабатывания устройства, зависит от его расположения в сети. Устройства, расположенные ближе к источнику питания, имеют более длительные задержки, чтобы не отключать сеть раньше, чем необходимо.
- Принцип последовательности: На карте отображается последовательность работы защитных устройств. Устройства, расположенные дальше от аварийного участка, срабатывают последними, если предыдущие устройства не справились с задачей.
Процесс координации: Карта селективности строится так, чтобы устройства защиты работали поочередно. При повреждении сначала срабатывает защита, ближайшая к месту аварии. Если она не успевает справиться, срабатывает следующее устройство. Важно, чтобы срабатывание одного устройства не приводило к отключению других здоровых участков сети.
Основная задача: Обеспечить выборочное отключение поврежденного участка с минимальными потерями для всей сети, что особенно важно для высоконагруженных объектов, таких как подстанции или промышленные предприятия.
Для эффективной работы карты селективности необходимо учитывать не только характеристики самих реле, но и параметры кабелей, трансформаторов, а также типы возможных повреждений. Интеграция с автоматизированными системами управления может значительно повысить гибкость и скорость реагирования всей системы защиты.
Как правильно построить карту селективности для электросети

При построении карты селективности для электросети необходимо учитывать несколько ключевых факторов, чтобы обеспечить корректную работу защитных устройств. Важно, чтобы устройства срабатывали последовательно, начиная с наиболее удалённых от повреждения участков, чтобы минимизировать отключение всей сети.
Основным этапом является выбор и настройка защитных аппаратов. Каждый элемент сети должен быть защищён соответствующим устройством, настроенным таким образом, чтобы оно срабатывало только в случае неисправности в конкретном участке. Настройки защитных аппаратов включают в себя время срабатывания, токовые характеристики и чувствительность.
Для эффективной работы карты селективности важно правильно настроить временные характеристики. Обычно выбирается метод срабатывания с задержкой, чтобы при малых повреждениях система не отключала целые участки сети. Время задержки срабатывания должно увеличиваться по мере приближения устройства защиты к источнику питания. Это обеспечит последовательность в срабатывании защиты, начиная с ближайших защитных устройств.
Кроме того, важно учитывать номинальные токи срабатывания. Для устройств, защищающих основные элементы сети, необходимо установить минимальный ток срабатывания, чтобы избежать ложных срабатываний при кратковременных колебаниях тока. В то же время устройства защиты меньшего уровня должны быть настроены на более низкие токи срабатывания.
При построении карты селективности также необходимо учесть электрическое сопротивление цепей, расстояние между защитными устройствами и характеристики кабелей. Эти данные помогут в точной настройке параметров срабатывания защиты и определении последовательности срабатывания различных устройств. Важно, чтобы устройства срабатывали поочередно в зависимости от их положения в сети, начиная с тех, которые расположены ближе к источнику питания.
Кроме того, следует учесть условия работы в различных режимах (нормальные, аварийные). Например, в случае короткого замыкания система должна немедленно отключать повреждённые участки, чтобы не привести к распространению неисправности. Однако для срабатывания в других случаях, например, при перегрузке, может быть установлен более длительный временной интервал для предотвращения ненужных отключений.
После настройки всех защитных аппаратов и их характеристик важно провести моделирование работы системы. Это позволит проверить правильность выбранных параметров и убедиться, что защита работает в соответствии с ожидаемым сценарием. Программное обеспечение для моделирования может симулировать различные аварийные ситуации и оценить время отклика каждого устройства в сети.
Влияние параметров защиты на точность карты селективности

Точность карты селективности напрямую зависит от настройки параметров релейной защиты, таких как токи срабатывания, временные характеристики и взаимное влияние защитных устройств. Эти параметры определяют, насколько эффективно система защитит линии и оборудование, минимизируя отключение только тех элементов, которые реально подверглись аварии.
Ток срабатывания реле имеет решающее значение. Параметры, установленные для разных секций линии, должны быть оптимизированы для того, чтобы избежать перекрытия защитных зон. Установление правильного значения тока срабатывания позволяет обеспечить селективность, предотвращая случайные срабатывания при колебаниях нагрузки или кратковременных помехах.
Временные характеристики защиты влияют на скорость реагирования системы. Чем быстрее срабатывает защита, тем точнее будет карта селективности, так как меньшее время реакции уменьшает вероятность пересечения областей воздействия различных защитных устройств. Однако, слишком быстрые реакции могут привести к ложным срабатываниям, особенно в случае переходных процессов в сети. Необходимо найти баланс между временем срабатывания и необходимой надежностью защиты.
Координация между устройствами защиты также критична для точности карты селективности. Каждый защитный прибор должен быть настроен таким образом, чтобы его действие не пересекалось с действиями соседних устройств. Недостаточная или избыточная координация приводит к избыточным отключениям, что ухудшает эффективность работы системы в целом.
Кроме того, необходимо учитывать влияние внешних факторов, таких как напряжение в сети, температура окружающей среды и состояние оборудования. Эти параметры могут изменяться со временем и влиять на точность работы защитных устройств, что также отражается на точности карты селективности. Регулярная проверка и настройка защиты помогают сохранить высокую точность и стабильность работы системы.
Правильное использование всех этих параметров при проектировании системы защиты позволяет обеспечить высокий уровень селективности и снизить вероятность ошибок в процессе работы оборудования, что в конечном итоге повышает надежность всей электросети.
Типичные ошибки при проектировании карты селективности

Проектирование карты селективности релейной защиты требует внимательности и точности. Ошибки на этом этапе могут привести к снижению эффективности системы защиты и увеличению времени отключения при аварийных ситуациях. Рассмотрим несколько типичных ошибок, которые могут возникнуть при проектировании карты селективности.
- Неверное распределение характеристик защиты – если характеристики защиты (время и ток срабатывания) для различных устройств выбираются без учета реальных условий работы сети, это может привести к неэффективному реагированию на короткие замыкания. Часто встречается ситуация, когда устройства защиты находятся слишком близко друг к другу по характеристикам, что увеличивает вероятность ненадежной работы системы.
- Недооценка влияния параллельных цепей – в некоторых случаях проектировщики не учитывают влияние параллельных цепей на работу защиты. Это может привести к ошибкам при выборе временных задержек реле, особенно в сложных сетях с параллельными и кольцевыми соединениями.
- Игнорирование амплитуды короткого замыкания – неправильный расчет максимальной амплитуды тока короткого замыкания может привести к неправильному выбору срабатывания защит. Это также может вызвать ложные срабатывания или наоборот, отсутствие защиты при более высоких токах.
- Отсутствие проверки взаимодействия релейных защит – важным аспектом проектирования является проверка взаимодействия между релейными защитами разных уровней. Ошибки в этой области могут привести к ситуациям, когда защита не срабатывает в нужный момент, или наоборот, срабатывает на неверном участке.
- Неучет изменения параметров сети в процессе эксплуатации – проектирование карты селективности должно учитывать возможность изменения характеристик сети с течением времени. Если проект не включает в себя возможность перенастройки защиты при изменении схемы сети или появления новых мощностей, это может вызвать проблемы с селективностью после ввода объекта в эксплуатацию.
- Невнимание к элементам, расположенным на границе защитных зон – устройства, которые находятся на границе нескольких защитных зон, часто становятся причиной сложностей при проектировании карты селективности. Недооценка их влияния на общую работу системы может привести к неэффективному выбору временных задержек или токов срабатывания.
- Неверное определение времени срабатывания защиты – ошибка в расчетах времени срабатывания может привести к задержке в реагировании на короткое замыкание, что увеличивает риск повреждения оборудования. Важно точно учитывать расстояние от защищаемого оборудования до точки короткого замыкания.
Для избегания этих ошибок необходимо учитывать все возможные сценарии работы системы, проводить тщательное моделирование и тестирование карт селективности на этапе проектирования. Важно также учитывать возможность корректировки защит в процессе эксплуатации, что поможет обеспечить надежность и безопасность работы электросетевого оборудования.
Интеграция карты селективности с современными системами управления

Для интеграции карты с системами управления, необходимы следующие условия. Во-первых, система должна быть оснащена интеллектуальными реле, которые способны передавать информацию о состоянии защиты и токах короткого замыкания. Во-вторых, важно наличие интерфейса для настройки параметров защиты через систему SCADA, что обеспечивает удобство в настройке и корректировке карты селективности в реальном времени.
Карты селективности, интегрированные с такими системами, как распределенные системы автоматического управления (DCS), позволяют уменьшить время отклика при авариях. Использование автоматизированных схем мониторинга и диагностики дает возможность оперативно отслеживать изменения в характеристиках сети, что значительно снижает риск ошибок при выборе правильных сечений для отключения.
Для эффективной работы интеграции необходимы данные о реальном времени, которые должны быть автоматически обновляемыми в системе. Релейные устройства с функциями мониторинга и настройки через программное обеспечение дают возможность адаптировать карту селективности под изменяющиеся условия эксплуатации. Интеграция с интеллектуальными системами управления требует высокоточной настройки пороговых значений и учёта всех возможных сценариев аварий.
Особое внимание стоит уделить проверке корректности работы карты селективности после её интеграции в систему управления. Для этого используются симуляции аварийных ситуаций, что позволяет проверить, насколько эффективно система выбирает корректные цепи для отключения в случае реальной аварии. Регулярная верификация и корректировка карты на основе полученных данных от системы мониторинга позволяет обеспечить максимальную защиту и минимизировать влияние на стабильность всей энергосети.
Роль карты селективности в минимизации повреждений оборудования

Ключевым аспектом карты селективности является грамотная настройка релейных защитных устройств на каждом уровне сети. Это предполагает использование устройств с различной чувствительностью, чтобы в случае повреждения отключались только те элементы, которые непосредственно пострадали. Применение карты селективности помогает избежать массовых отключений и снижает риск повреждения дорогостоящих компонентов системы, таких как трансформаторы и генераторы.
Каждое защитное устройство в сети настроено так, чтобы реагировать на предельные параметры, характерные для конкретного участка. При этом карта селективности гарантирует, что только ближайшее к месту повреждения устройство сработает первым, минимизируя последствия для всей сети. Это позволяет не отключать элементы системы, которые не подверглись повреждению, обеспечивая тем самым нормальную работу остальной части оборудования.
Правильное проектирование карты селективности требует учета таких факторов, как тип нагрузки, характеристики оборудования и время отклика каждого защитного устройства. Например, использование времени срабатывания защитных аппаратов в зависимости от их расположения позволяет исключить ложные срабатывания, что снижает риск повреждения более сложных систем и дорогих компонентов.
Кроме того, настройка карты селективности должна учитывать возможные изменения в работе оборудования, такие как его износ или обновление. Если старые защитные устройства не корректно реагируют на измененные параметры работы оборудования, они могут привести к чрезмерным отключениям или, наоборот, недостаточной защите от повреждений. Регулярное обновление карты селективности помогает поддерживать оптимальную работу системы, предотвращая риски повреждений из-за несовершенных настроек.
В результате правильно спроектированная и настроенная карта селективности служит важным инструментом для минимизации повреждений, увеличивая срок службы оборудования и снижая операционные расходы на его восстановление.
Вопрос-ответ:
Что такое карта селективности в релейной защите?
Карта селективности — это графическое отображение характеристик работы реле защиты в зависимости от величины тока и времени срабатывания. Она помогает определить, какие устройства защиты сработают при определённых аварийных режимах, и в каком порядке. На карте указываются временные характеристики различных защит, и она позволяет настроить систему так, чтобы в случае короткого замыкания или перегрузки отключался только участок сети, где произошёл сбой.
Как карта селективности помогает избежать ненужных отключений оборудования?
Карта селективности позволяет настроить защиту таким образом, чтобы в случае аварийной ситуации сработала именно та защита, которая отвечает за этот участок сети. Это значит, что при коротком замыкании в одной части сети отключится только оборудование на этом участке, а не вся сеть. С помощью карты можно настроить защиту так, чтобы наименьшее количество устройств выходило из строя, минимизируя время простоя и предотвращая излишние отключения.
Как работает принцип селективности в релейной защите?
Принцип селективности заключается в том, чтобы в случае аварийной ситуации отключался только тот участок сети, где произошло повреждение. Для этого на карту селективности наносят характеристики срабатывания защитных реле. Устройства защиты срабатывают по очереди, начиная с ближайшего к повреждению. Это гарантирует, что не будет происходить отключение всей системы, а повреждённый участок будет изолирован, что позволяет продолжить работу остальных частей сети.
Как правильно настраивать карту селективности в релейной защите?
Настройка карты селективности начинается с того, что на ней отображаются все элементы защиты, такие как реле, выключатели и автоматические устройства. Далее для каждого элемента определяется время срабатывания в зависимости от величины тока. Карта должна быть настроена таким образом, чтобы наименьшие токи отключали ближайшие к месту повреждения элементы защиты, а наибольшие — отключали более отдалённые участки. Важно учитывать время реакции каждого устройства, чтобы избежать избыточных отключений.
Какие ошибки могут возникнуть при проектировании карты селективности?
Одной из самых частых ошибок является неправильная настройка временных характеристик срабатывания реле. Это может привести к тому, что слишком многие устройства защит сработают одновременно, что приведёт к отключению всей сети или её большой части. Также возможна ошибка при расчёте величины тока для разных элементов защиты, что может вызвать неисправности или даже повреждения оборудования. Поэтому важно тщательно проверять все настройки карты перед её внедрением в систему.
Что такое карта селективности в релейной защите и для чего она нужна?
Карта селективности в релейной защите — это схема, которая помогает точно определить, какие защитные устройства должны срабатывать в случае аварийной ситуации в электрической сети. Основная цель карты — обеспечить срабатывание минимального количества устройств для локализации неисправности, предотвращая отключение всей системы. Важно, чтобы защитные аппараты срабатывали по очереди: сначала устройства, находящиеся ближе к месту неисправности, а затем более удаленные. Это предотвращает ненужные отключения и уменьшает риск повреждения оборудования.
Как работает карта селективности и как ее правильно настроить?
Карта селективности работает на основе анализа времени срабатывания защитных устройств и их расположения в цепи. Суть работы заключается в том, чтобы установить правильные параметры для каждого устройства так, чтобы они срабатывали в строгом порядке — сначала ближайшее к неисправности, затем устройства, расположенные дальше, в зависимости от силы и длительности короткого замыкания. Настройка карты требует знания характеристик всех защитных реле и устройств, а также параметров сети. При проектировании карты учитываются такие факторы, как время срабатывания, ток срабатывания и тип цепи. Важный момент — регулярная проверка и корректировка карты, особенно при изменении конфигурации сети или установки нового оборудования.
